|
National Service
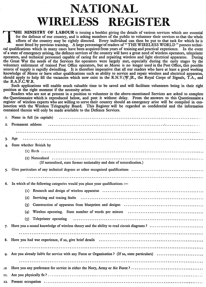
The Wireless Register
In this issue we publish again the National Wireless Register Form which first appeared last week. The Wireless World has inaugurated this National Wireless Register in conjunction with the Wireless Telegraphy Board in order that the Authorities may be able to assess the potential resources in trained or partially trained wireless personnel in the country.
As we have already explained, filling up the form does not involve any liability, but will provide a means of classifying those experienced in wireless, so that in the event of an emergency which would require that everyone should put himself at the service of the country, the right job could be found for every person with wireless qualifications; either continuing in his present occupation or in some other where the utmost use could be made of his capabilities.
Those who are in reserved occupations would not, of course, be required to volunteer for other work, but it would still be valuable that they should be included in the Register for the sake of completeness, and because no matter what occupation of value you may at present be in there is always the possibility that you can render still more valuable service in another capacity.
It is hoped then that every reader will make it his business to complete and post this form as early as possible.

The whole page registration form.
|